Subjects
Online Tutoring
Homework Help
Homework Library
Tutors
Online Classes
More
Bookstore
Blog
Technical Tips
FAQ
Contact Us
Get Help Now
Home
Homework Library
Mathematics
Topology
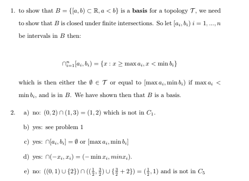
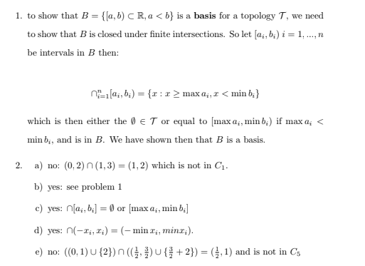
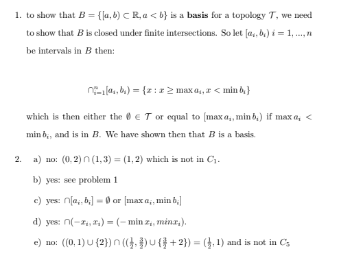
1. Show that B={[a,b)⊂R a<b is a basis for a topology on R...
1. Show that B={[a,b)⊂R a<b is a basis for a topology on R....