Subjects
Online Tutoring
Homework Help
Homework Library
Tutors
Online Classes
More
Bookstore
Blog
Technical Tips
FAQ
Contact Us
Get Help Now
Home
Homework Library
Mathematics
Topology
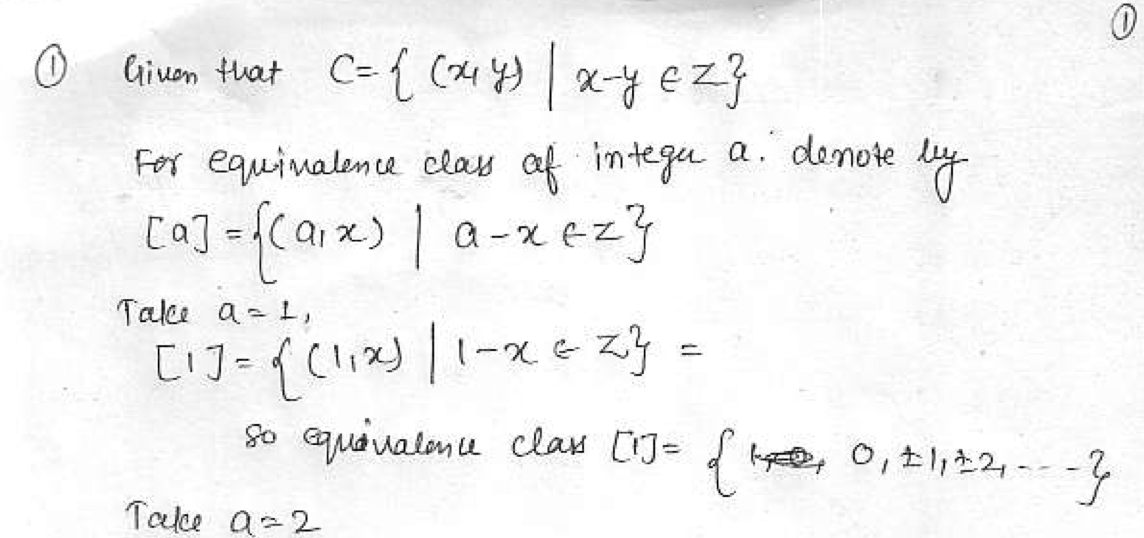
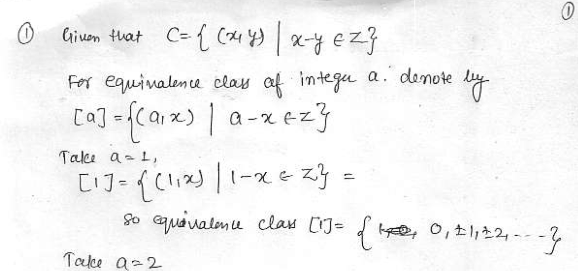
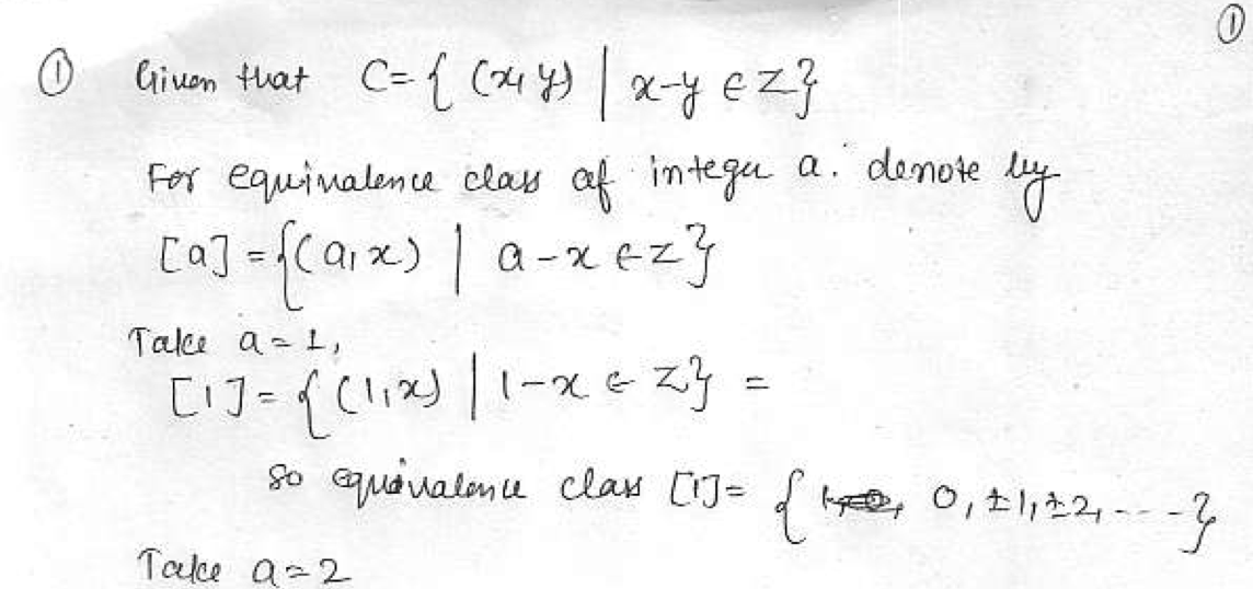
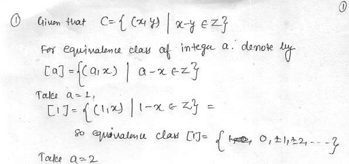
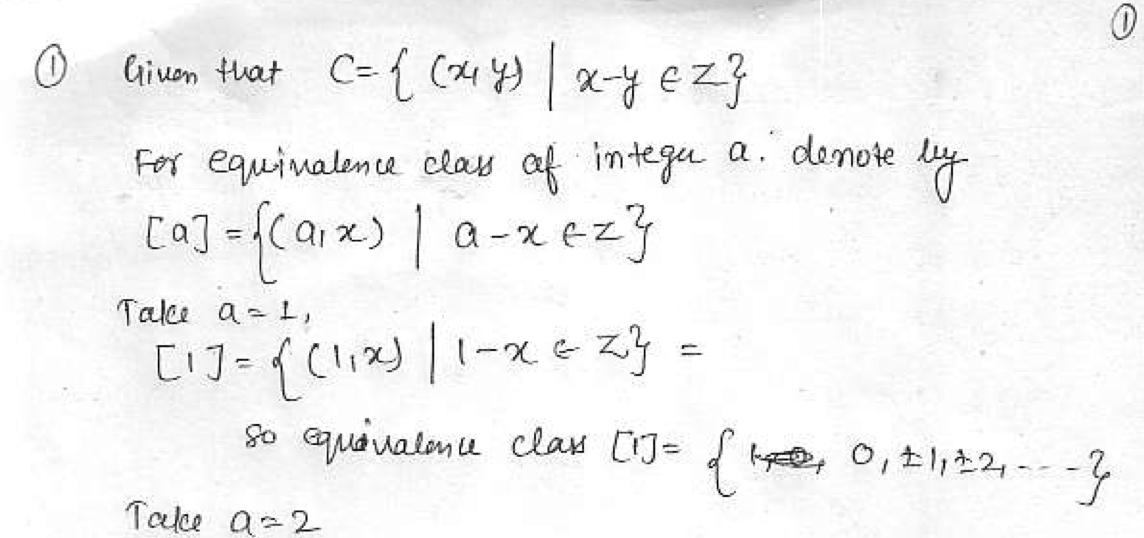
Problem 1. Define a relation on R by C={(z,y)|x-yeZ}. Show that ...
Problem 1. Define a relation on R by C={(z,y)|x-yeZ}. Show that...