Subjects
Online Tutoring
Homework Help
Homework Library
Tutors
Online Classes
More
Bookstore
Blog
Technical Tips
FAQ
Contact Us
Get Help Now
Home
Homework Library
Mathematics
Topology
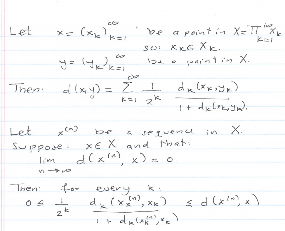
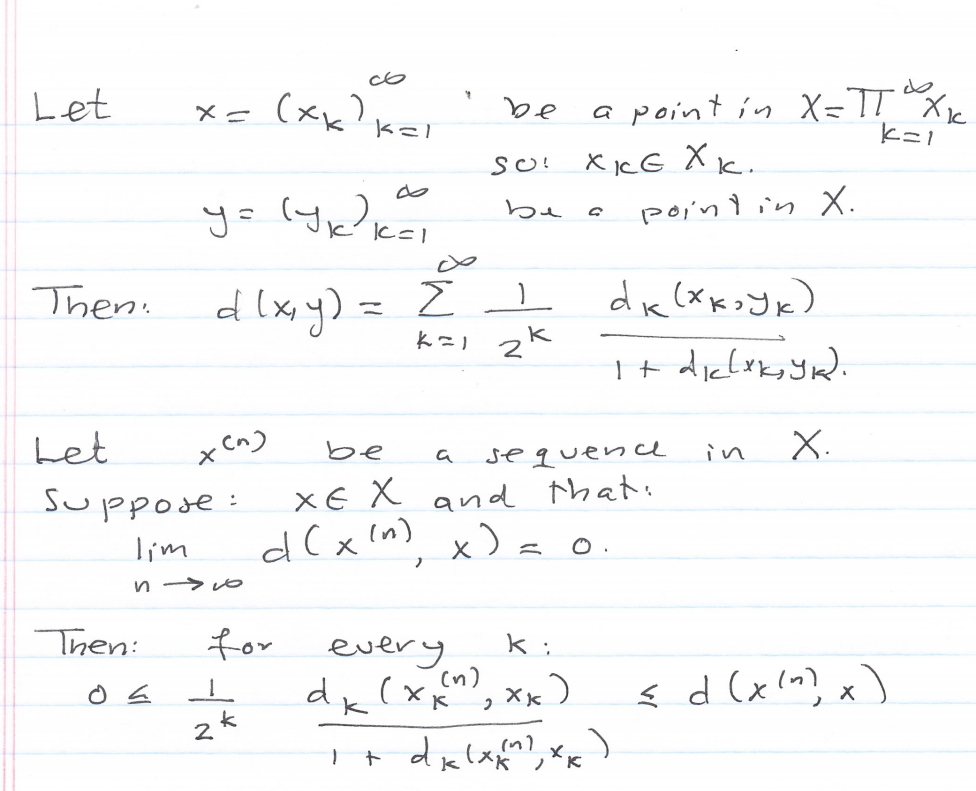
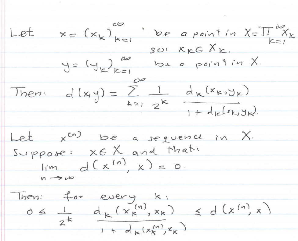
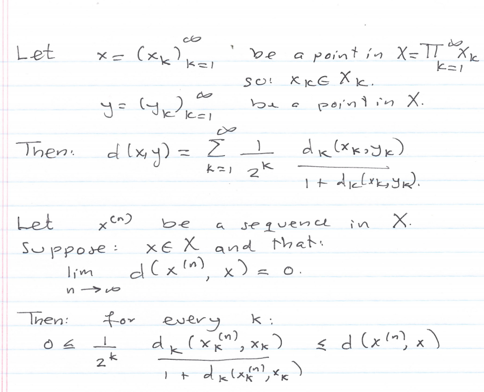
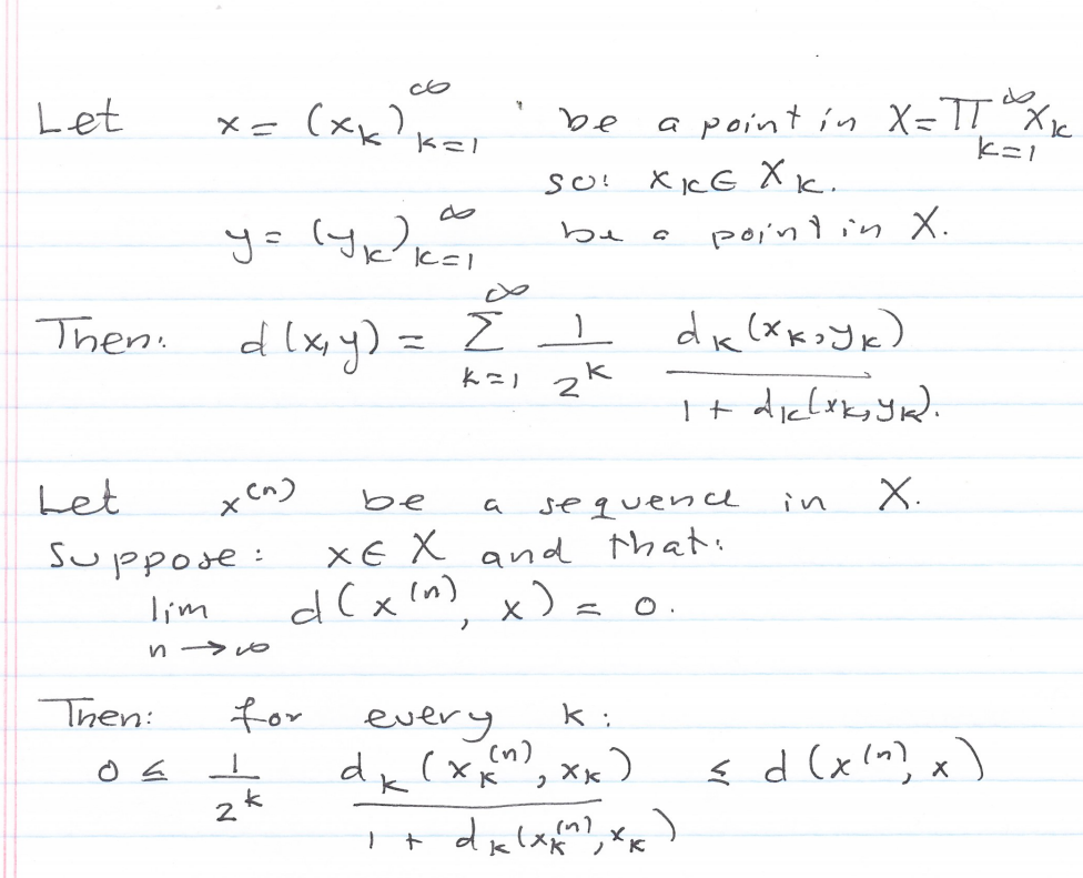
Let (x,d) be a metric space and let S ⊂ X. The distance of x ...
Let (x,d) be a metric space and let S ⊂ X. The distance of x ∈...