Subjects
Online Tutoring
Homework Help
Homework Library
Tutors
Online Classes
More
Bookstore
Blog
Technical Tips
FAQ
Contact Us
Get Help Now
Home
Homework Library
Mathematics
Topology
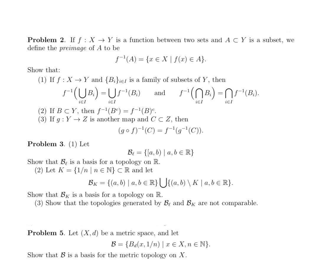
Problem 2. If f : X Y is a function between two sets and A C Y is ...
Problem 2. If f : X Y is a function between two sets and A C Y is...