Subjects
Online Tutoring
Homework Help
Homework Library
Tutors
Online Classes
More
Bookstore
Blog
Technical Tips
FAQ
Contact Us
Get Help Now
Home
Homework Library
Mathematics
Topology
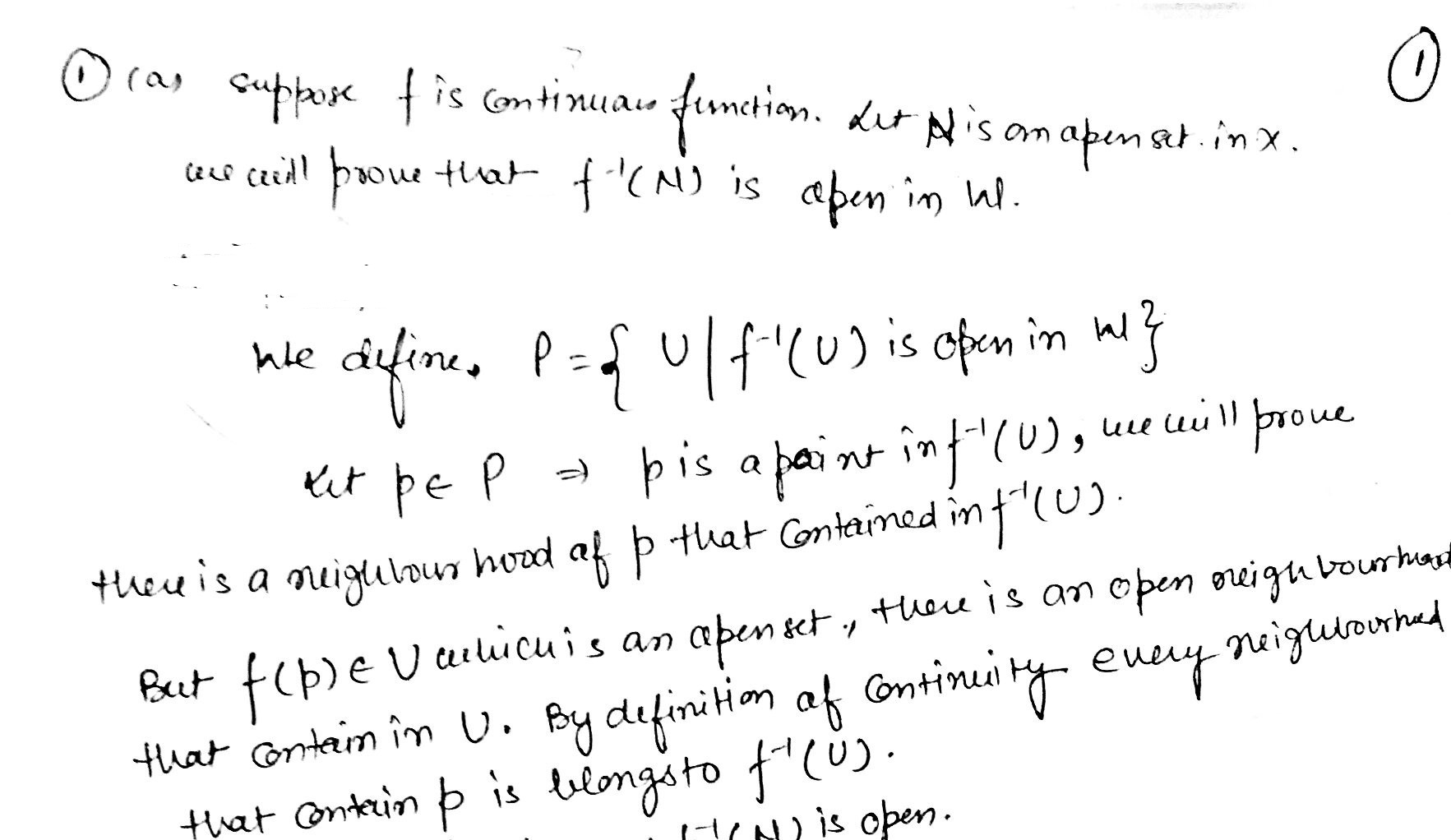
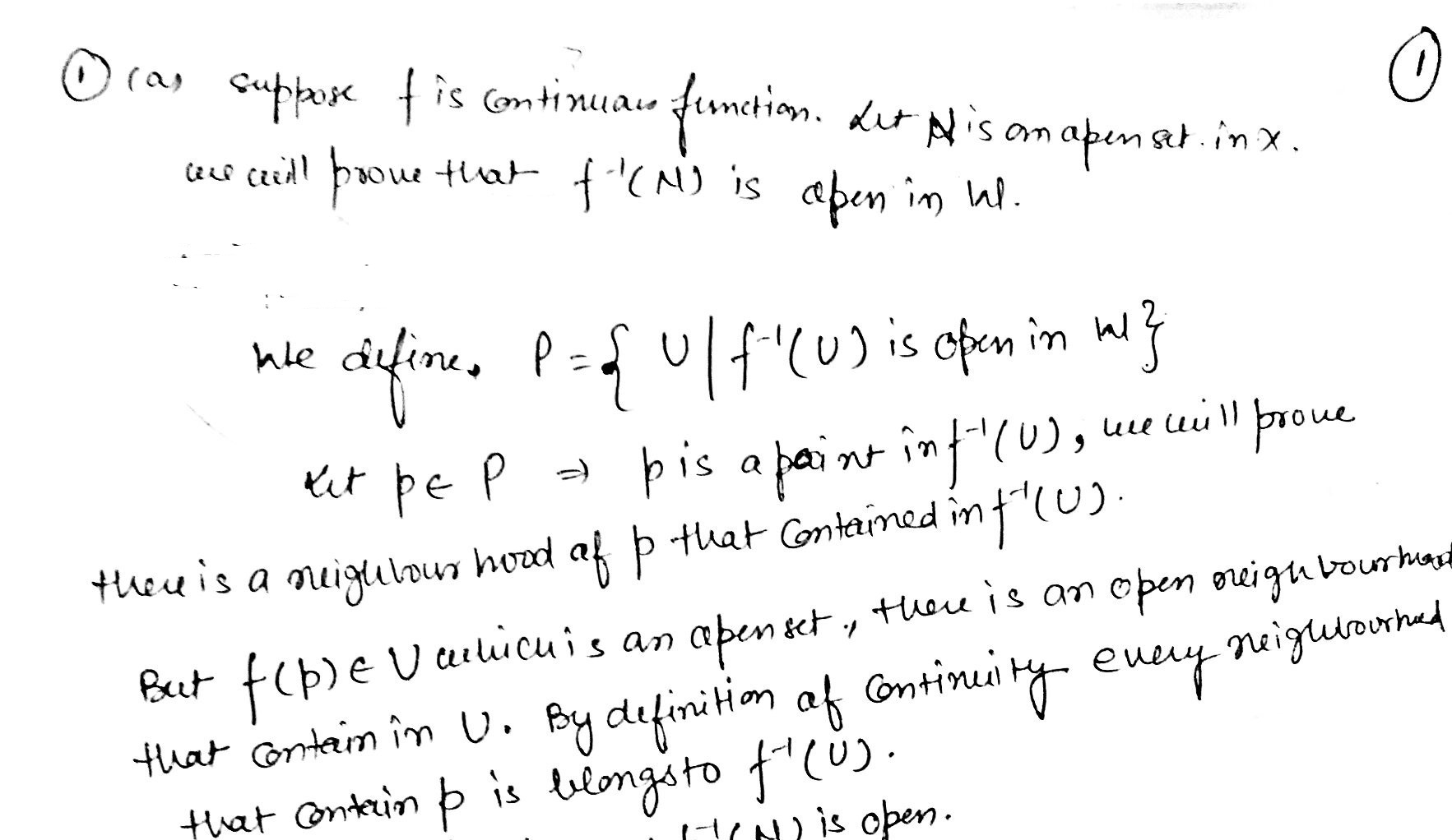
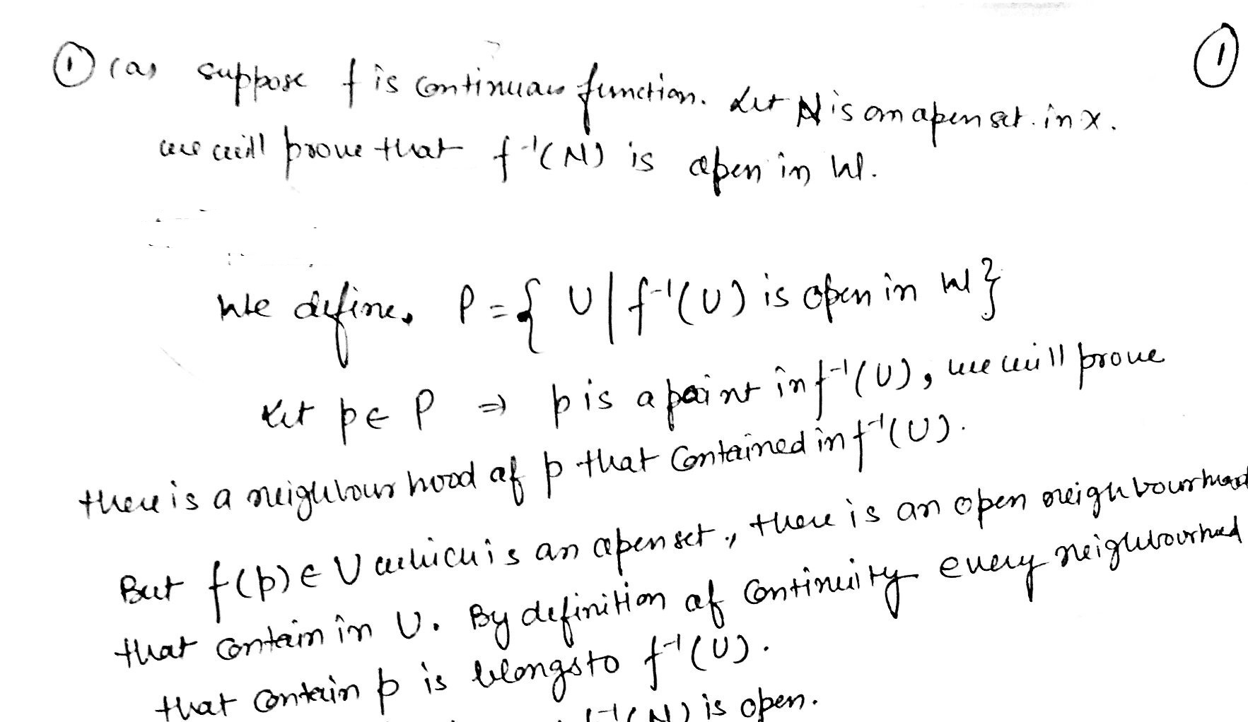
1. Let N be a collection of subsets of X, and let O be the smallest...
1. Let N be a collection of subsets of X, and let O be the smallest...