Subjects
Online Tutoring
Homework Help
Homework Library
Tutors
More
Bookstore
Blog
Technical Tips
FAQ
Contact Us
Get Help Now
Home
Homework Library
Mathematics
Trigonometry
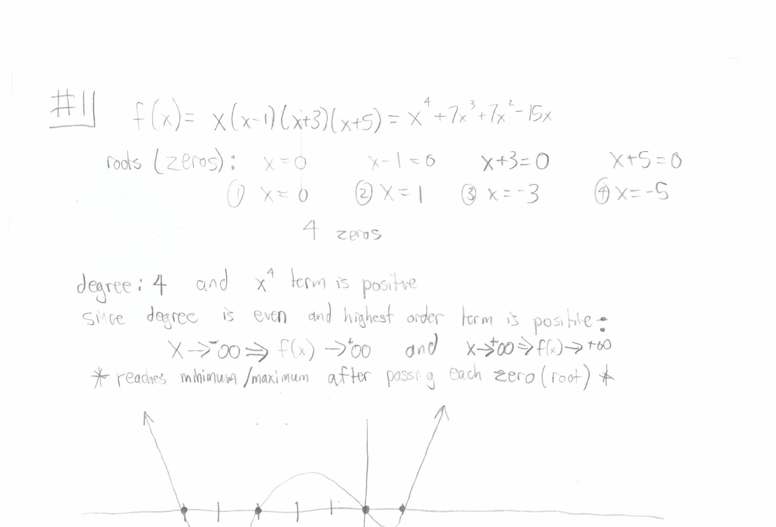
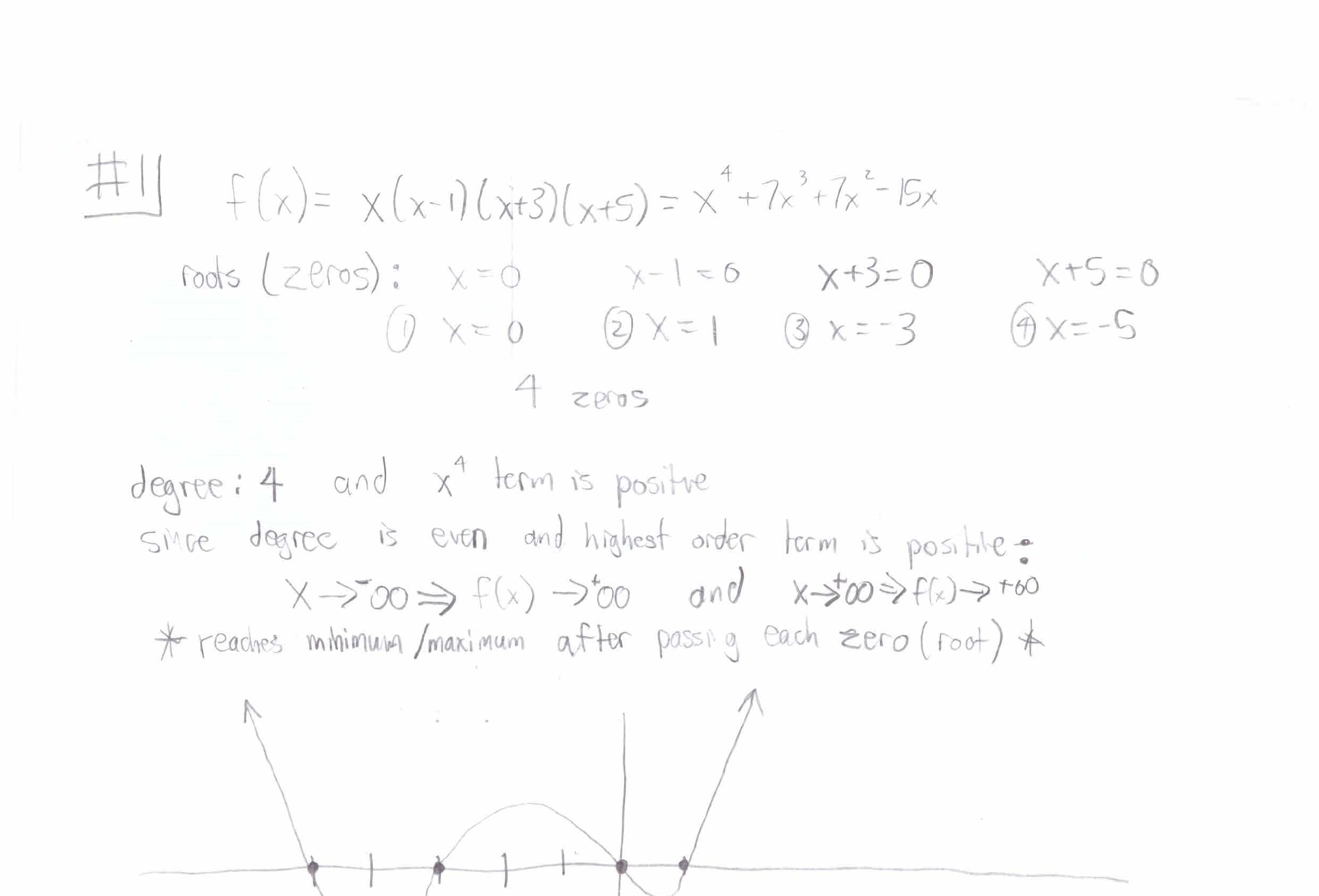
t property 1 1 f(x) = x (x-1)(x+3)(x+5) 2 h(x) = - x (x-3)(x-3...
t property 1 1 f(x) = x (x-1)(x+3)(x+5) 2 h(x) = - x (x-3)(x-3...