Subjects
Online Tutoring
Homework Help
Homework Library
Tutors
Online Classes
More
Bookstore
Blog
Technical Tips
FAQ
Contact Us
Get Help Now
Home
Homework Library
Mathematics
Trigonometry
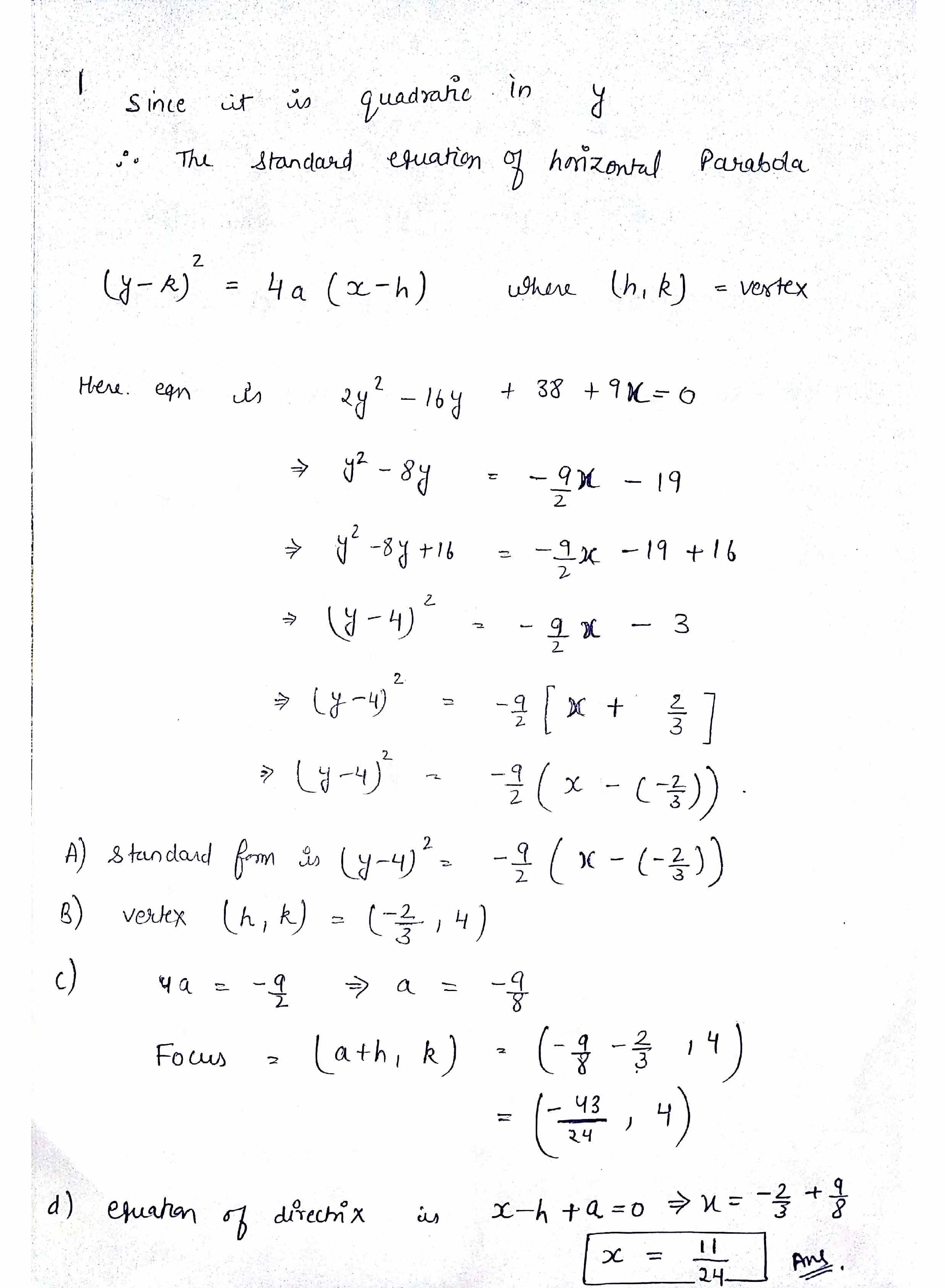
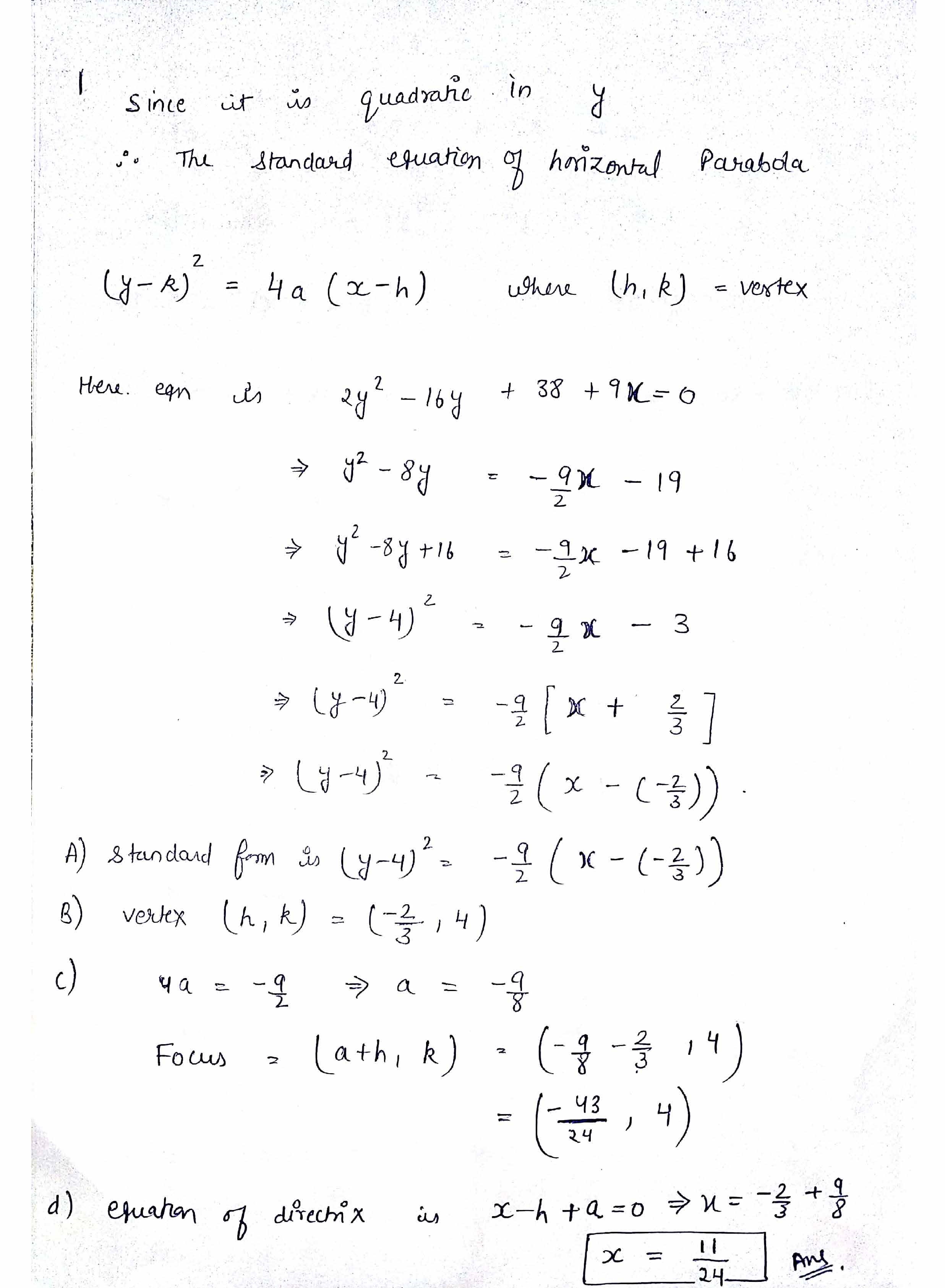
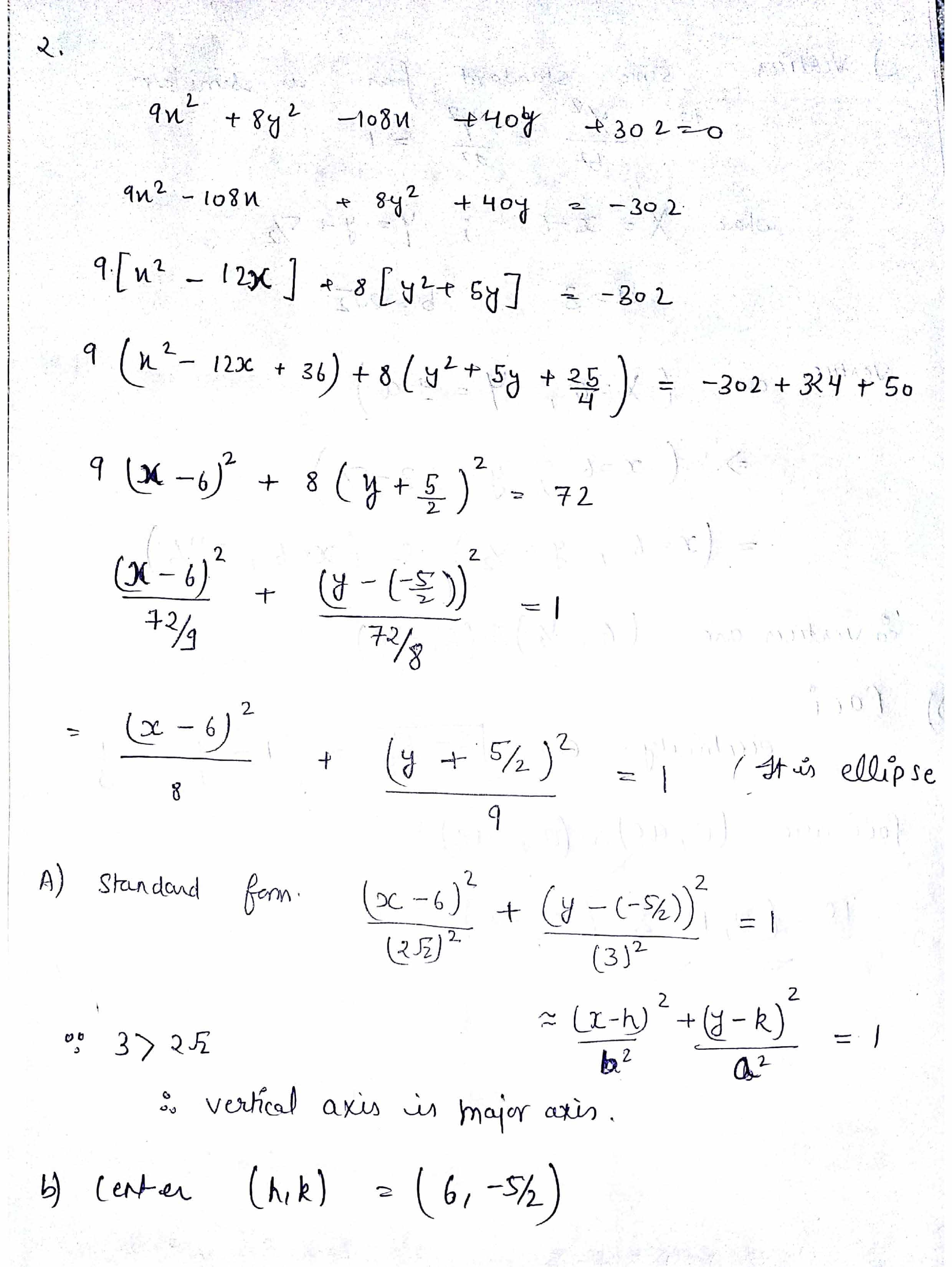
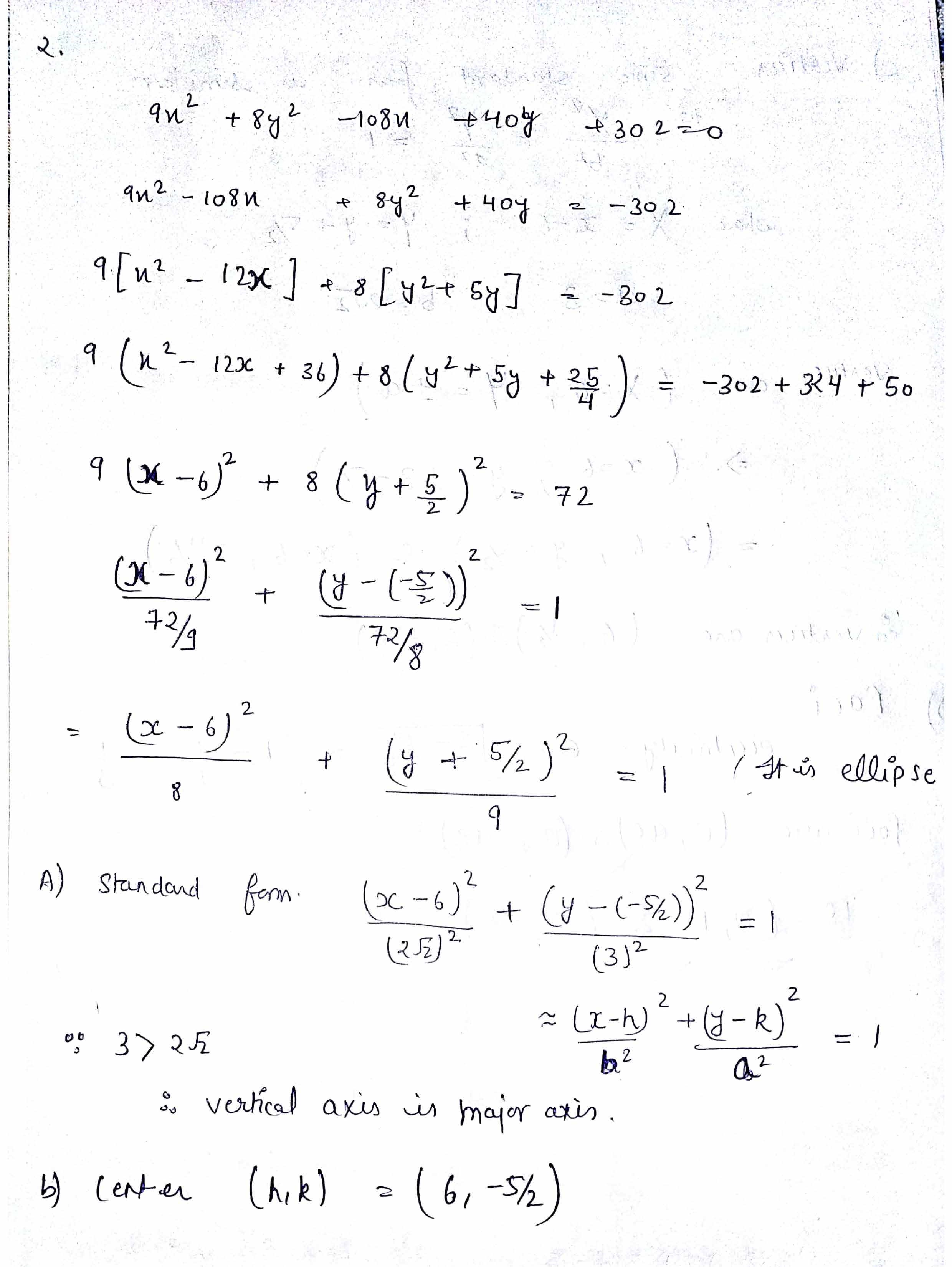
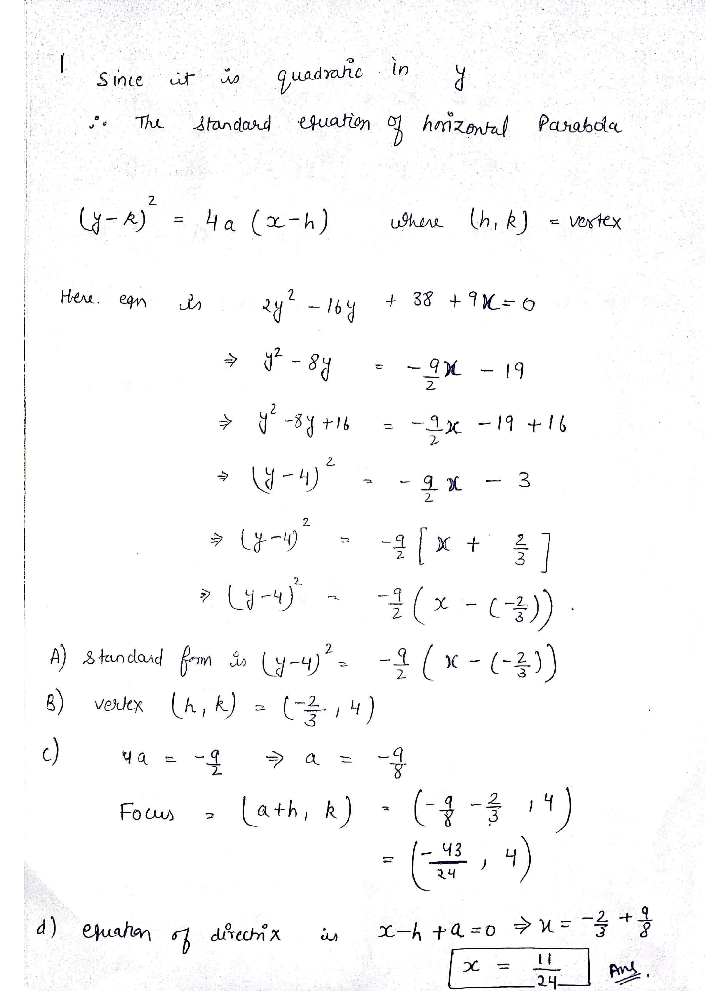
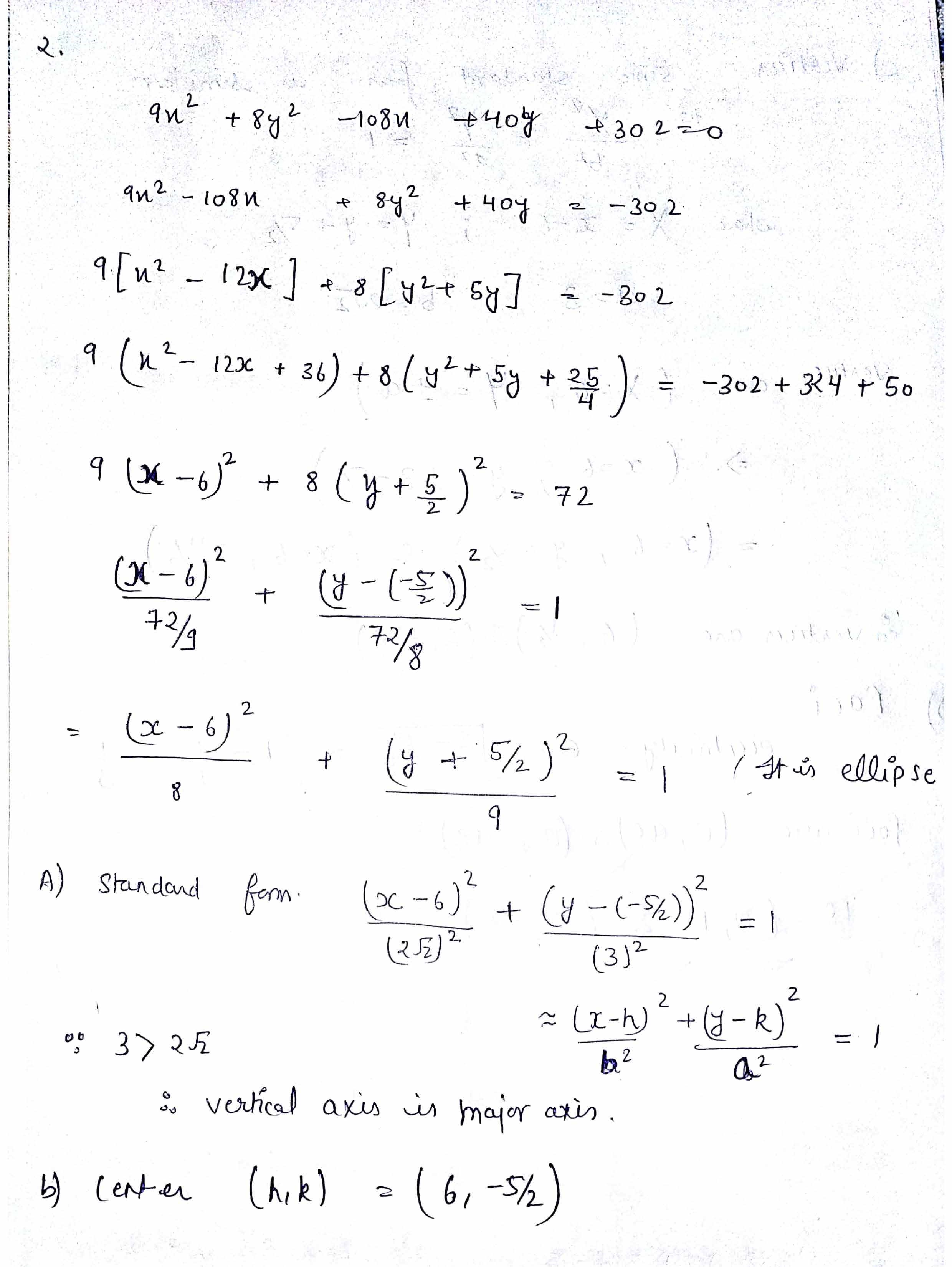
1. 6 pts. Put the equation into the standard form of a parabola and...
1. 6 pts. Put the equation into the standard form of a parabola and...